Drinking four or more cups of coffee per day is linked with a significant reduction in the risk of head and neck cancers, according to a comprehensive analysis of global data.
Led by a consortium of researchers based in the United States and Europe and published in the American Cancer Society journal Cancer, the study involved a meta analysis of 14 studies encompassing more than 9,500 cases of head and neck cancer (HNC) and more than 15,700 control cases.
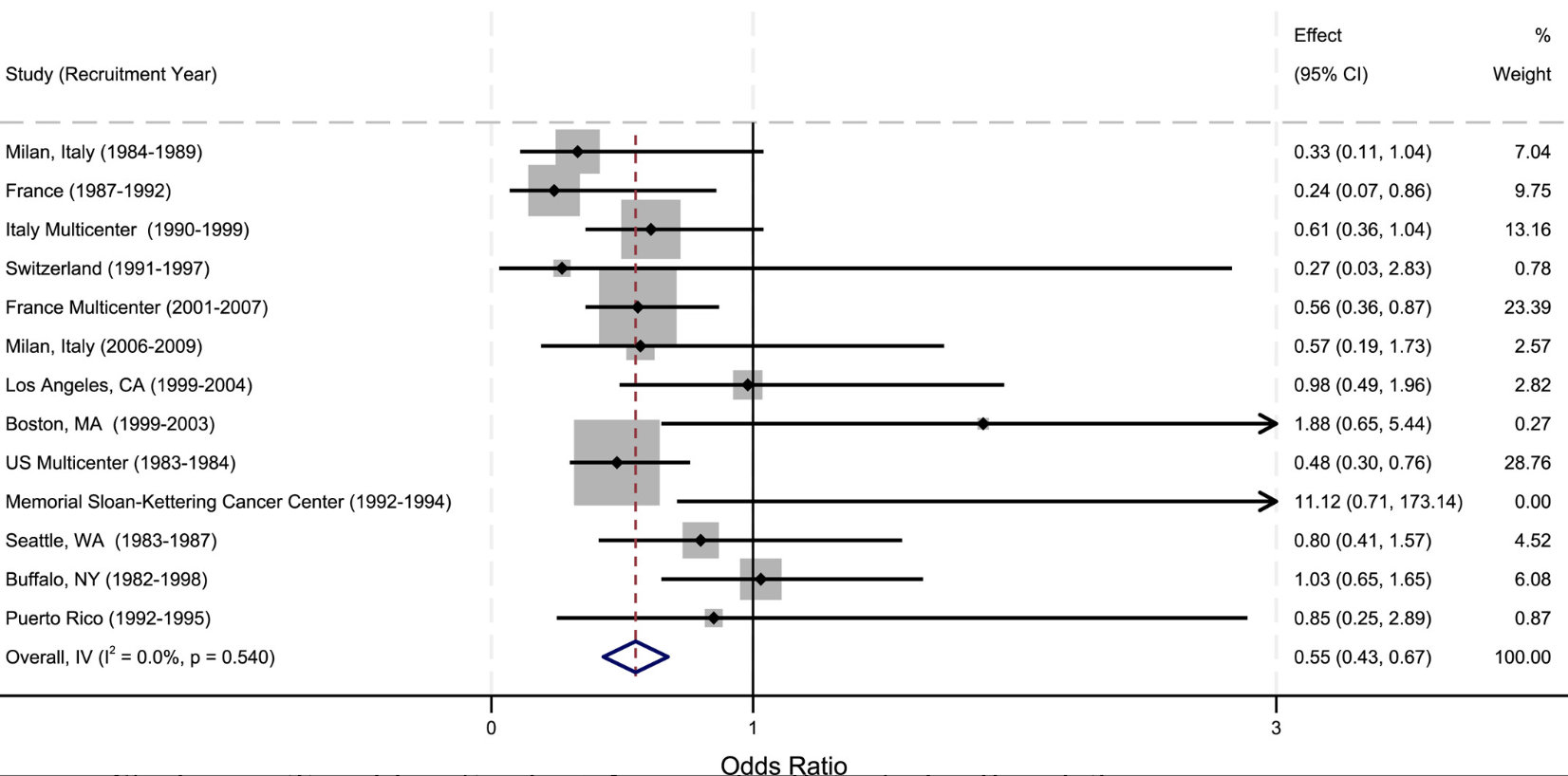
According to the analysis, drinking four or more cups of caffeinated coffee daily resulted in a 17% reduced risk of developing any type of HNC, a 30% decreased risk in developing oral cavity cancer and a 22% decreased risk of developing oropharyngeal cancer. Drinking 3-4 cups per day was associated with a 41% decreased risk of hypopharyngeal cancer.
Study-specific odds ratios for >4 cups of caffeinated coffee daily versus non–coffee drinkers for oral cavity and oropharyngeal cancers.
The researchers noted that HNC is the seventh most prevalent type of cancer globally, resulting in approximately 745,000 new cases in 2020.
In the study results were also found among decaf coffee drinkers, with any amount of daily decaf coffee associated with a 25% decrease in risk of oral cavity cancer. The study also found mild protective effects among tea drinkers.
Overall, the findings add to the growing body of evidence suggesting coffee has protective effects against various types of cancer. On a related note, the United States Food and Drug Administration (FDA) is in the process of revising its “healthy” food labeling rules to include coffee, in part because of the beverage’s proven effects in warding off cancer and other diseases.
Another recent major study found that regular coffee consumption is associated with an increased “healthspan” — i.e. the length of time someone stays healthy without debilitating diseases — by nearly two years.
Comments? Questions? News to share? Contact DCN’s editors here. For all the latest coffee industry news, subscribe to the DCN newsletter.



